首页
关于我们
​yl23411永利官网简介
经理致辞
领导团队
历史沿革
团队队伍
教职人员
实验室人员
科学研究
研究团队
研究进展
支撑平台
人才培养
旗下产业
研究生教育
物理实验教学中心
教育培训
党团工作
党建工作
团建工作
教师风采
员工寄语
招生录取
本科生招生
研究生招生
国际交流
交流访问
学术会议
最新动态
学术讲座
通知公告
yl23411永利官网新闻
集团主页
邮箱登录

yl23411永利官网物理学系在磁性材料的BKT相变研究中取得进展

2020-11-09


2016年诺贝尔物理学奖授予三位科学家,Thouless、Haldane和Kosterlitz,以表彰他们发现了物质拓扑相,以及在拓扑相变方面作出的理论贡献。Thouless和Kosterlitz的工作是理论上提出一种拓扑相变的机制,从XY自旋模型出发,在二维材料中会出现具有拓扑性质的涡旋。这些涡旋在低温下会形成紧密的“涡旋对”,随着温度上升发生相变,两个成对的漩涡突然之间相互远离并各自在材料中独自运动。这个相变机制被命名为Berezinskii-Kosterlitz-Thouless(BKT)相变,并预言会在磁性材料中存在。实验上曾在超流氦薄膜和二维超导薄膜中观测到BKT相变,但一直还没有在磁性材料中找到BKT相的实验证据。

近期,yl23411永利官网于伟强教授课题组、南京大学温锦生教授课题组、中科院物理所孟子杨教授课题组、北京航空航天大学李伟教授课题组、复旦大学戚扬课题组等多个团队进行合作,结合样品合成、核磁共振测量、磁化率测量和蒙特卡洛数值计算等,首次在磁性材料TmMgGaO4中发现了BKT相存在的实验证据,并建立了其丰富的相图(图a)。


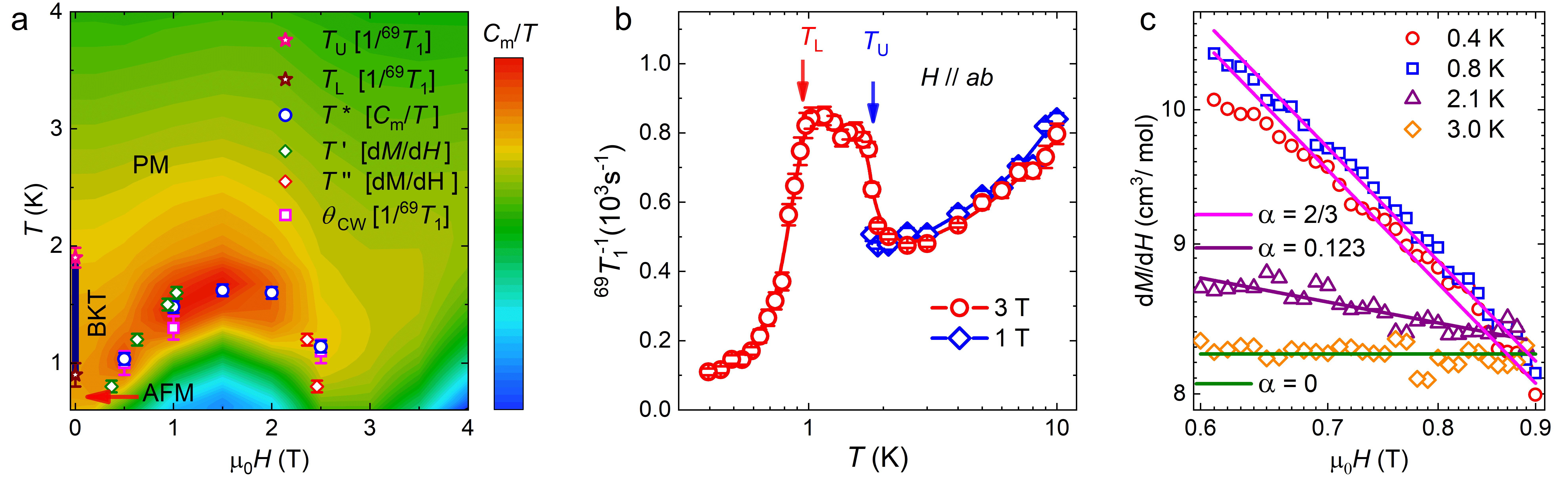
图 a. TmMgGaO4 施加面外磁场的相图;b. 面内磁场下的自旋晶格弛豫率;c. 不同温度下微分磁化率的幂律拟合。


具体而言,在三角晶格Ising反铁磁模型中,自旋阻挫导致其基态是高度简并的。理论上认为横场的引入会导致简并解除,产生 无序导致有序”的新奇机制,低温下形成六重简并的“时钟相”,该相的序参量在复平面具有六重旋转对称性,从而在更高的温度演生出XY型U(1)对称性,所以预期会有BKT相的存在。近期,对三角晶格材料TmMgGaO4的研究中发现其具有很强的各项异性,非常符合理想的三角晶格Ising模型,在晶体场和自旋轨道耦合作用下,其低能性质可以被有效自旋为1/2的non-Kramers双重态描述,而这个双重态不受对称性保护,存在小的能级劈裂,这可以等效为一个有效内禀横场的作用,为BKT相的研究提供了一个天然的好材料。

该实验重点借助于核磁共振对低能探测非常灵敏的特性,从低能涨落的特性探测BKT相。但在三角晶格横场Ising模型中,一旦施加磁场,BKT相就会被破坏,对核磁共振测量造成了困难。巧合的是,对于TmMgGaO4,由于面内是多极矩,其g 因子几乎为零,导致面内磁场对材料的电子态几乎没有影响。运用材料这样的特性,在施加面内磁场下,不仅提供了核磁共振需要的磁场,并可以测量接近零场的材料性质。具体结果是自旋晶格弛豫率展示了一个从0.9 K和1.9 K的平台型结构(图b),表明在这个区间是一个具有发散自旋关联长度、没有长程磁有序的相。结合对该材料的量子蒙特卡洛计算,证实在平台温度区间是一个悬浮的BKT相。

使用磁化率的测量,发现该材料的微分磁化率和磁场服从一个幂律行为,即dM/dH H –α(图c)。对不同温度下0.6-0.9 T微分磁化率的拟合,在0.8 K时α接近2/3,在更高温逐渐减小,3 K之上α几乎为0。同样通过量子蒙特卡洛计算得到的结果也和实验相吻合,对应BKT相的临界指数变化进一步验证了BKT相涨落的存在。

这是实验上首次在磁性晶体材料中发现BKT相的存在,同时这也为BKT相的研究提供了一个具体的例子,并为进一步研究磁性材料中的BKT物理提供了一个理想的平台。该成果以“Evidence of the Berezinskii-Kosterlitz-Thouless Phase in a Frustrated Magnet”为题于2020年11月发表于《Nature Communications》。

南京大学温锦生教授课题组为该工作提供了高质量的单晶和精细的磁化率测量,于伟强课题组提供了核磁共振测量,中科院物理所孟子杨教授课题组、北京航空航天大学yl23411永利官网李伟教授课题组以及复旦大学戚扬教授提供了理论分析和数值计算。yl23411永利官网博士生胡泽、湖北师范大学马祯、中科院物理所廖元达、北京航空航天大学李涵为该论文的共同第一作者,于伟强教授,温锦生教授、孟子杨教授、李伟教授和戚扬教授为共同通讯作者。该工作得到了科技部、国家自然科学基金、以及yl23411永利官网研究基金的支持。



论文信息:

Evidence of the Berezinskii-Kosterlitz-Thouless Phase in a Frustrated Magnet, Z. Hu#, Z. Ma#, Y.-D. Liao#, H. Li#, C. Ma, Y. Cui, Y. Shangguan, Z. Huang, Yang Qi*, Wei Li*, Zi Yang Meng*, Jinsheng Wen*, and Weiqiang Yu*, Nature Communications 11, 5631 (2020). [https://doi.org/10.1038/s41467-020-19380-x]



相关推荐
读取内容中,请等待...