近日,yl23411永利官网物理系王伟民教授和中科院物理所李玉同教授研究团队,利用自主开发的极化QED-PIC程序(PIC:particle-in-cell,粒子模拟)对未来的百拍瓦激光与固体相互作用中产生的大电量、高密度正负电子束的自旋极化进行了探索研究。发现采用激光固体靶实验上常用构型(即线偏振激光与具有预等离子体的固体靶相互作用)就可在百拍瓦激光装置上产生极化率30%、电量30纳库的正电子束,其角通量可达到1012sr-1,在特定能量段上收集的正电子极化率可达到60%。
该工作也表明在未来百拍瓦激光装置上的一般的激光固体靶实验中,将不可避免地产生大量的极化正电子和电子,因此电子/正电子的自旋和光子偏振效应的对激光等离子体相互作用的影响需要认真考虑。该研究成果以“Dense Polarized Positrons from Laser-Irradiated Foil Targets in the QED Regime”为题于2022年7月11日发表在Physical Review Letters上。

图1. (a)激光固体靶相互作用产生极化正电子的方案:一束线偏振激光入射到一个在靶前具有微米密度标长的固体靶上。激光作用结束后,(b) 正电子数密度和 (c) 极化率关于横向偏转角和正电子能量的二维分布,以及关于横向偏转角的一维分布。
自旋极化的正电子在高能物理,材料物理和实验室天体物理等领域具有广泛的用途。目前,传统极化正电子源是基于Bethe-Heitler机制通过圆偏振伽马光或纵向极化电子轰击高Z固体靶实现的,但是单发的正电子产额只有飞库量级(10-15库仑),难以满足未来正负电子对撞机所需的纳库(10-9库仑)以及极化正负电子等离子体物理研究中的要求。如何获得大电量和高密度的极化正电子仍然是一个巨大的挑战。
利用极端强激光激发的强场量子电动力学(QED)效应也能产生极化的正电子束。近期国内外强激光研究机构成功建造了数拍瓦超强激光装置,并正在建造更强的百拍瓦量级激光装置,譬如上海光机所建造的SULF、SEL装置,中物院八所建造的数拍瓦、百拍瓦激光装置,美国upgraded OMEGA EP装置,欧洲的ELI装置等。这些装置输出的激光脉冲的聚焦强度能够达到1023-1025W/cm2,激光场强度可达1015-1016V/m,由这样的极端强激光与物质相互作用从目前的经典、相对论领域进入到强场量子电动力学(QED)主导的领域。在强场QED领域内,受外场偏转的高能电子会通过非线性Compton散射辐射高能伽马光子,而伽马光子又可以通过非线性Breit-Wheeler过程高效地湮灭为正负电子对。之前的研究表明,如果采用非对称强激光(椭圆偏振激光或双色线偏振激光)和高能电子束对撞,产生的正电子将是自旋极化的。但是,受限于光学器件较低的损伤阈值,构造超强的非对称激光场是十分困难的;并且已有的激光尾场加速获得的GeV电子束的电量一般为数十皮库(10-12库仑),这导致产生的正电子数目低于皮库量级。
国内外多项研究表明利用十拍瓦、百拍瓦激光与等离子体相互作用可以产生高密度的正电子,然而这些正电子极化性质仍然不清楚,这是因为目前广泛使用、对以上问题进行研究的QED-PIC程序忽略了自旋极化效应。该团队继2016年开发了国内首个QED-PIC程序(arXiv:1608.06356)之后,在2021年开发了国际上首个包含电子/正电子自旋极化和光子偏振效应的QED-PIC程序(New Journal of Physics 23, 075005 (2021)),从而具备了研究以上问题的能力。
最近,该团队利用开发的程序对百拍瓦量级的激光和固体靶作用进行了研究,其中采用了常规的线偏振激光脉冲(激光场初始对称)以及靶的前表面有激光预脉冲产生的微米标长的预等离子体。模拟结果表明,一旦激光强度超过1024W/cm2时,正电子就会出现明显的极化,并且此极化依赖于偏转角度。对于偏转角大于20度的正电子,其极化率可以达到30%。正电子和电子的极化可归结为它们产生和脱离激光作用区域时感受到了非对称的激光场。虽然激光场在入射时是对称的,但是由于激光场在高密度靶前表面的等离子体趋肤层附近被强烈地吸收和反射,同时正电子和电子可以自由地通过此趋肤层。因而,正电子和电子只经历了部分的激光场就进入到高密等离子体内,这导致了它们在趋肤层附近经历了高度不对称的亚周期激光场,从而获得了具有角度依赖的自旋极化。
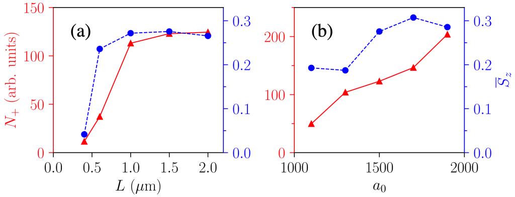
在真实实验中,由于激光预脉冲是无法避免的,该工作的模拟结果表明它在靶前产生的预等离子体会对正电子的极化和产额都具有重要的作用(如图2所示)。因此,对于未来的百拍瓦激光与固体靶相互作用,极化正电子将普遍存在。这些极化的高密度正电子束可以用于研究极化正负等离子体物理,也可以经过后续加速后应用于未来正负电子对撞机中。

图2.正电子产额和极化率随(a)预等离子体密度标长和(b)激光场强的变化。
论文第一作者为博士生宋怀航,共同通讯作者为王伟民教授和李玉同教授。该研究工作得到了国家重点研发计划(2018YFA0404801),国家自然科学基金委项目(11775302,11827807),中国科公司战略性先导科技专项(XDA25050300,XDA25010300),yl23411永利官网教授启动基金(20XNLG01)的支持。
论文链接:https://link.aps.org/doi/10.1103/PhysRevLett.128.093902